①假設函數(hypothesis function)

在給定一些樣本數據(training set)後,採用某種學習算法(learning algorithm)對樣本數據進行訓練,得到了一個模型或者説是假設函數。

當需要預測新數據的結果時,將新數據作為假設函數的輸入,假設函數計算後得到結果,這個結果就作為預測值。

 

假設函數的表示形式一般如下:θ 稱為模型的參數(或者是:權重weights),x就是輸入變量(input variables or feature variables)

機器學習假設函數_梯度下降算法

 

可以看出,假設函數h(x)是關於x的函數,只要確定了 θ ,就求得了假設函數 (θ 也可視為一個向量)。那麼對於新的輸入樣本x,就可以預測該樣本的結果y了。

上面假設函數是從0到n求和,也就是説:對於每個輸入樣本x,將它看成一個向量,每個x中有n+1個 features。比如預測房價,那輸入的樣本 x(房子的大小,房子所在的城市,衞生間個數,陽台個數.....一系列的特徵)

 

關於分類問題和迴歸問題:假設函數的輸出結果y(predicted y)有兩種表示形式:離散的值和連續的值。比如本文中講到的預測利潤,這個結果就是屬於連續的值;再比如説根據歷史的天氣情況預測明天的天氣(下雨 or 不下雨),那預測的結果就是離散的值(discrete values)

因此,若hypothesis function輸出是連續的值,則稱這類學習問題為迴歸問題(regression problem),若輸出是離散的值,則稱為分類問題(classification problem)

 

②代價函數(cost function)

學習過程就是確定假設函數的過程,或者説是:求出 θ 的過程。

現在先假設 θ 已經求出來了,就需要判斷求得的這個假設函數到底好不好?它與實際值的偏差是多少?因此,就用代價函數來評估。

機器學習假設函數_機器學習假設函數_02

 

向量化後的代價函數:

機器學習假設函數_機器學習假設函數_03

 

 

一般地,用 m 來表示訓練樣本的數目(size of training set),x(i) 表示第 i 個樣本,y(i) 表示第i個樣本的預測結果。

從上圖可看出:代價函數與“最小均方差”的理念非常相似。J(θ)是 θ 函數。

顯然,“代價函數越小,模型就越好”。因此,目標就是:找到一組合適的 θ ,使得代價函數取最小值。

如果我們找到了 θ ,那不就求得了 假設函數了?也就求得一個模型--linear regression model.

那如何找 θ 呢?就是下面提到的梯度下降算法(gradient descent algorithm)

 

 

③梯度下降算法(Gradient descent algorithm)

 

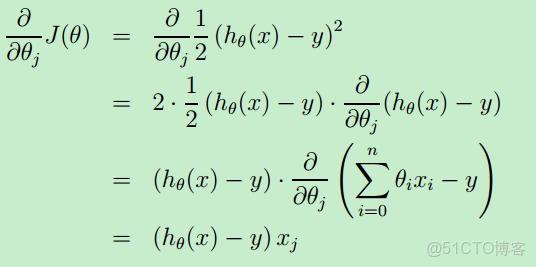
梯度下降算法的本質就是求偏導數,令偏導數等於0,解出 θ

 

機器學習假設函數_梯度下降算法_04

 

 

首先從一個初始 θ 開始,然後 for 循環執行上面公式,當偏導數等於0時,θj 就不會再更新了,此時就得到一個最終θj 值。

 

整個偏導數的運算過程如下:

 

機器學習假設函數_最小值_05

 

 

④假設函數、代價函數和梯度下降算法的向量表示

 

假設函數的向量表示如下:

機器學習假設函數_代價函數_06

 

 

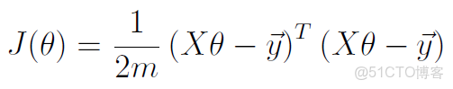
代價函數的表示如下:

機器學習假設函數_代價函數_07

 

 

使用梯度下降算法求解 θ 的向量化表示如下:

機器學習假設函數_最小值_08

(原文上圖的式子有一處錯誤,第一個等號後的式子不應除以m,這裏加以更正了)

 

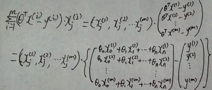
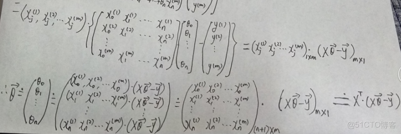
證明過程如下:

 

機器學習假設函數_代價函數_09

 

機器學習假設函數_最小值_10

 

 

 

 

補充:

θ的閉式解(close-form solution)

機器學習假設函數_梯度下降算法_11

θ的閉式解也就是它的解析解,就是使得代價函數J(θ)取得最小值的解;

使用閉式解的優點是一步得到精確解,避免了“loop until converge”;

缺點是當特徵數量較多時,X的維度較大,而求解的複雜度為O(n^3),時間代價較高。(特徵數量一般以10^4為分界點,高於這個值一般考慮用梯度下降)