博客 / 詳情

返回

驚爆!科學家證實:數字孿生已是"有生命的系統"!

2025年10月,中國信通院公佈2025上半年數字化轉型典型案例評選結果,凡拓數創的 “左港水庫數字孿生平台” 作為唯一入選的水利類項目,首次實現了水庫全生命週期動態自我優化功能,標誌着數字孿生技術正式從靜態模型邁入具有成長能力的 “活系統” 階段。

傳統認知中的數字孿生僅僅是物理實體的虛擬複製品,但前沿研究表明,現代數字孿生系統已展現出自我學習、自主演進的類生命體特徵。科學家開始將其定義為 “具有生命特徵的計算系統” ,其核心在於數據、模型與算法的持續迭代能力。

技術原理一:動態感知與多物理場耦合

數字孿生系統的 “生命特徵” 首先體現在對物理世界實時動態的精確感知與響應能力。通過部署多源傳感器網絡,系統能夠持續採集物理實體的運行狀態數據,並藉助多物理場耦合仿真技術,在虛擬空間構建高保真動態映射。

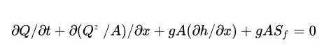
以左港水庫項目為例,其數字孿生平台通過水下傳感器、雷達水位計等設備,每5秒更新一次水庫運行數據。這些數據驅動水動力學模型進行實時仿真:

其中Q為流量,A為過水麪積,h為水位,S_f為摩擦坡度。該偏微分方程準確描述了水流運動規律,使虛擬水庫能夠精準反映實際水庫的運行狀態。

技術原理二:基於強化學習的自主決策

數字孿生系統的 “智能” 來源於強化學習算法的深度集成。系統通過不斷與環境交互,獲得獎勵信號,逐步優化決策策略。其核心價值函數可表示為:

其中γ為折扣因子,R為獎勵函數,π為策略。通過不斷試錯,系統能夠自主探索最優運行參數。

在實際應用中,這種學習能力使系統能夠提前預測設備故障。例如,某航空發動機公司通過數字孿生技術,提前30天預測核心部件故障,準確率達到85%,將非計劃停機時間減少40%。

技術原理三:知識演化與模型進化

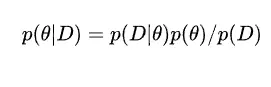
數字孿生系統最具 “生命-like” 的特徵在於其持續進化的能力。系統通過同化新觀測數據,不斷調整內部模型參數,實現性能的持續提升。這一過程遵循貝葉斯更新規則:

其中θ為模型參數,D為新觀測數據。系統通過不斷融合新數據,更新對參數θ的認知,使模型越來越精確地反映物理實體的真實行為。

凡拓數創的實踐充分展示了數字孿生系統的 “生命”特徵。其FTE數字孿生引擎不僅實現了物理實體的高精度建模,更通過自主學習和預測能力,為系統注入持續進化的活力。在左港水庫項目中,該平台通過同化歷史運行數據,使洪水預測精度在三年內提升了27%,展現出明顯的 “學習效應”。

未來展望:從“有生命”到“全自主”

隨着AIGC與大模型技術的融合,數字孿生正朝着更高層次的自主決策方向發展。凡拓數創即將推出的FTRobo具身智能雲平台,將進一步強化數字孿生系統的自主性,實現從 “感知-分析”到“決策-執行” 的閉環。

未來五年,隨着神經符號學習與因果推斷等前沿技術的成熟,數字孿生系統將不再滿足於僅僅映射物理世界,而是能夠自主發現物理規律,甚至預測未知現象,真正成為科學家口中能夠自主進化的 “有生命的系統”。

數字孿生技術已從單純的建模工具,演變為具有感知、學習、決策和進化能力的智能系統。這一轉變不僅拓展了數字孿生的應用邊界,更重新定義了人、機、物融合的未來圖景。

user avatar
0 位用戶收藏了這個故事!

發佈 評論

Some HTML is okay.