Unrelated Machine Scheduling

GitHub - GuidoBorrelli/AdvancedAlgorithms_Uni_二分圖匹配


轉化為判定形式,判定所有機器的 load 能否均不超過 T

GitHub - GuidoBorrelli/AdvancedAlgorithms_Uni_機器運行_02


一個問題是 integrality gap 可能會非常大,如 1 個任務,n 個機器,在每個機器時間上都是 1。整數最優解是分給任意一個機器,是 1。但 LP 會均分這個任務,最優解為 1/n。這樣 integrality gap 是 n

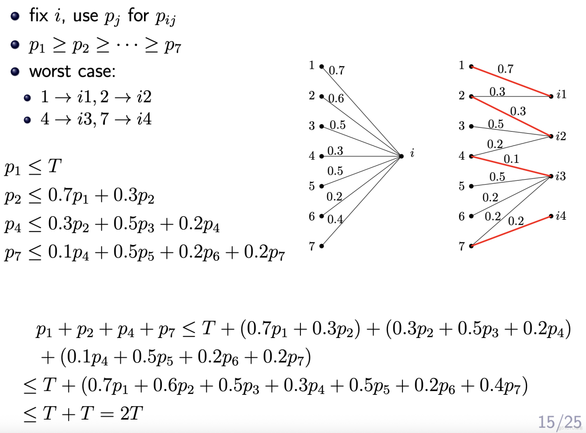
為了解決這個問題,當 pij>T 時,令 xij 必須為 0,這樣就需要令 T 為二分的常數,不能為 LP 的變量。

fix 一個機器 i,將 xij>0 的任務 j 按照 pij 降序排列,分別建一個 sub-machine,令每個 sub-machine 承擔不超過 1 的 fraction(按照順序分配即可,只有每個機器的最後一個 sub-machine 擁有的 fraction 可能小於 1,其餘均為 1)。

GitHub - GuidoBorrelli/AdvancedAlgorithms_Uni_二分圖匹配_03

之後這對應了二分圖匹配的 LP (即每個點 v 有一個 constraint 為 ∑uxuv≤1),直接進行一個二分圖匹配,讓每個任務都匹配一個 sub-machine。

這樣最壞的情況,就是對於一個 設施的每一個 sub-machine 都分到了連接到該設施的第一個任務(因為從大到小排序了)

GitHub - GuidoBorrelli/AdvancedAlgorithms_Uni_機器運行_04


就是湊一下係數可以發現近似比為 2。另外這個 2 也是 integrality gap,考慮 n+1 個任務分到 n 個機器,所有時間都是 1。這樣整數解必然有一個機器運行兩個任務,時間為 2。而 LP 可以讓每個機器運行 1+1/n 個任務。所以 integrality gap 為 2/(1+1/n)≈2

Congestion Minimization

GitHub - GuidoBorrelli/AdvancedAlgorithms_Uni_機器運行_05

k 對源匯,每對需要 1 單位流量。最小化流量最大的邊的流量。

源點均為 s,匯點均為 t:令每條邊容量為 1,求 s 到 t 的最大流 L,答案為 ⌈k/L⌉
源點均為 s,匯點不同:二分,判定 c 是否可行。建立超級匯點,每個匯點向超級匯連容量為 1 的邊。每條邊容量為 c,從 s 出發 k 的流量,cehck 是否都能到超級匯。
源匯均不同的話無法用上面的做法,因為這樣會丟失點對關係,無法保證從 si 出發的流量到達 ti

GitHub - GuidoBorrelli/AdvancedAlgorithms_Uni_最優解_06

C 表示最大擁塞,有一個 typo,左邊的 LP 的第二個限制應為對所有 e 均有 ∑i,P∈Pi,e∈PxP≤C

左邊是一個指數級變量個的 LP,si 到 ti 之間的每條路徑 P 之間有一個變量 xP,表示這個路徑的 fraction。右邊的 LP 和左邊等價,就是將路徑的 fraction 放到了每條邊上,可以通過逐漸求增廣路的方式轉化為左邊的 LP。

具體算法為:

GitHub - GuidoBorrelli/AdvancedAlgorithms_Uni_二分圖匹配_07

根據上面的算法,一條邊的期望擁塞為 ∑i,P∈Pi,e∈PxP 是不超過 C 的。

用 chernoff bound,限制每條邊的擁塞超過 (1+δ)C 的概率不超過 12n2 這樣通過 union bound 可以 w.h.p 保證 ratio 為 δ

GitHub - GuidoBorrelli/AdvancedAlgorithms_Uni_機器運行_08

因為這裏令 δ→∞ ,所以 chernoff bound 中的界 eδ(1+δ)1+δ≈eδδδ=O(1δδ)