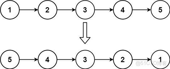
1.逆置(1.藉助頭結點2.不借助頭結點)

建議收藏|四大互聯網經典鏈表筆試題_51CTO博客_#數據結構

void Reverse_List1(Node* plist)
{
    //1.準備工作(申請兩個指針p和q,分別指向第一個有效節點和第二個有效節點)
    Node* p = plist->next;//第一個節點
    Node* q = NULL;//Node*p=p->next;
    //2.斷開頭結點
    plist->next = NULL;
    while (p != NULL)
    {
        q = p->next;
        p->next = plist->next;
        plist->next = p;
        p = q;
    }
}
struct ListNode* reverseList(struct ListNode* head) {
    if(head==NULL)return NULL;
    struct ListNode*p1=NULL;
    struct ListNode*p2=head;
    struct ListNode*p3=head->next;
    while(p2!=NULL)
    {
        p2->next=p1;
        p1=p2;
        p2=p3;
        if(p3!=NULL)
        {
            p3=p3->next;
        }

    }
    return p1;
}

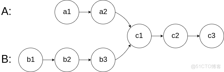
2.判斷兩個單鏈表是否存在交點,如果存交點,則找到相交的第一個點

2.1 如果面試官沒有讓找相交點,只是問你是否相交(可以用一個非常簡單的方法)

Node* Intersect(Node* plist1, Node* plist2)
{
    Node* p = plist1;
    Node* q = plist2;
    for (; p != NULL; p = p->next);
    for (; q != NULL; q = q->next);
    if (q != p)
    return NULL;
}

2.2如果面試官既要判斷是否相交,還要問你相交點在哪(另外一種解題思路)

建議收藏|四大互聯網經典鏈表筆試題_51CTO博客_#數據結構_02

建議收藏|四大互聯網經典鏈表筆試題_51CTO博客_#數據結構_03

struct ListNode *getIntersectionNode(struct ListNode *headA, struct ListNode *headB) {
    if(headA == NULL || headB == NULL) return NULL; // 修改:檢查空鏈表而不是next
    int i=0,j=0;
    int sum=0;
    struct ListNode *p1=headA;
    struct ListNode *p2=headB;
    while(p1!=NULL)
    {
        p1=p1->next;
        i++;
    } 
    while(p2!=NULL)
    {
        p2=p2->next;
        j++;
    }
    p1 = headA;
    p2 = headB;
    if(i>j)sum=i-j;
    else if(i<j)sum=j-i; 
    if(i>j)
    {
        while(sum>0)
        {
         p1=p1->next;
        sum--;
        }

    }
    if(i<j){
        while(sum>0)
        {
        p2=p2->next;
        sum--;
        }
    }
    
    while(p1 != NULL && p2 != NULL)
    {
        if(p1==p2)return p1;
        else{
            p1=p1->next;
            p2=p2->next;
        }
    }
    return NULL;
}

3.任意刪除一個節點(要求時間複雜度為0(1),給的這個節點的地址不能是尾結點)

bool Delete(Node* p)
{
    assert(p != NULL);
    if (p->next == NULL)return false;
    Node* q = p->next;
    p->data = q->data;
    Node* r = q->next;
    p->next = r;
    free(r);
    r = NULL;
    return true;
}

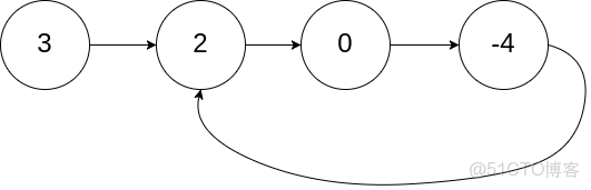
4.1.判斷一個單鏈表是否存在環 2如果確存在環,則找到入環點

建議收藏|四大互聯網經典鏈表筆試題_51CTO博客_#鏈表_04

bool hasCycle(struct ListNode *head) {
    if(head==NULL)return false;
    if(head->next==NULL)return false;
    struct ListNode *p=head;
    struct ListNode *q=head->next;
    while(q != NULL && q->next != NULL)
    {
        if(q==p)
        {
            return true;
        }
        else
        {
            p=p->next;
            q=q->next->next;
        }
    }
    return false;
}
Node* Find_FristCirCleNode(Node* plist)
{
    if (Is_Empty(plist))
        return NULL;

    Node* slow = plist;
    Node* quick = plist;

    slow = slow->next;
    quick = quick->next->next;

    while (quick != NULL && quick != slow)
    {
        slow = slow->next;
        //quick = quick->next->next; //bug
        quick = quick->next;
        if (quick != NULL)
            quick = quick->next;

    }

    if (quick == NULL)
    {
        return NULL;
    }

    //怎麼找入環點:讓兩個指針,1個從初始位置出發,1個從快慢指針相遇點出發,
保持同樣的速度,當這兩個指針相遇的時候,相遇節點就是找的第一個入環點
    Node* p = plist;
    Node* q = quick;//slow

    while (p!=q)
    {
        p = p->next;
        q = q->next;
    }

    return p;//q
}

5.確定一個單鏈表是否迴文12321(ES)123321(YES)123(YES)

5.1藉助棧來實現

5.2除2隊後面的鏈表進行逆置

#include <stack>
bool Is_Palindrome(Node* plist)
{
    std::stack<Node*> st;

    int len = Get_Length(plist);

    Node* p = plist->next;
    for (int i = 0; i < len / 2; i++)
    {
        st.push(p);
        p = p->next;
    }

    if (len % 2 == 1)
        p = p->next;

    while (!st.empty() && p != NULL)
    {
        if (st.top()->data != p->data)
        {
            return false;
        }
        else
        {
            p = p->next;
            st.pop();
        }
    }
    return true;
}
struct ListNode* reverseList(struct ListNode* head) {
    if(head==NULL)return NULL;
    struct ListNode*p1=NULL;
    struct ListNode*p2=head;
    struct ListNode*p3=head->next;
    while(p2!=NULL)
    {
        p2->next=p1;
        p1=p2;
        p2=p3;
        if(p3!=NULL)
        {
            p3=p3->next;
        }

    }
    return p1;
}
bool isPalindrome(struct ListNode* head){
    if(head==NULL)return false;
    if(head->next==NULL)return true;
    int i=0;
    struct ListNode*p=head;
    while(p!=NULL)
    {
        p=p->next;
        i++;
    }
    p=head;
    
    for(int j=0;j<i/2;j++)
    {
        p=p->next;
    }
    if(i%2==1)
    {
          p=p->next;  
    }
    struct ListNode* r=reverseList(p);
    struct ListNode*q=head;
    while(r!=NULL)
    {
        if(q->val!=r->val)return false;
        else
        {
            r=r->next;
            q=q->next;
        }
    }
    return true;
}

6.找到單鏈表倒數第K個節點

int kthToLast(struct ListNode* head, int k) {
    struct ListNode*p=head;
    struct ListNode*q=head;
    for(;k!=0;k--)
    {
        q=q->next;
    }
    while(q!=NULL)
    {
        p=p->next;
        q=q->next;
    }
    return p->val;
}