總結:

1. 矩陣和線性方程組:A向量*x向量=b向量,Ab為擴展向量。有解:説明b向量可以被A向量線性表示;無解:説明b向量無法被A向量線性表示。

2.  線性方程的行圖和列圖

行圖:是從座標系的角度看線性方程,(2元/3元)方程組的每一行代表是一條直線/平面。有解:則在直線/平面間有交點。

列圖:是從矢量的角度看線性方程。

 

 2.1 矩陣與向量的乘積

線性dp codeforces_線性dp codeforces

我們可以將係數作為向量提出來,記為u,v,w,3個向量,並把3個向量組成3*3的A矩陣,並把x1,x2,x3做為一個向量,記成X。

線性dp codeforces_線性dp codeforces_02

上述方程也可以表述為矩陣的每一行與向量X的點乘的方程。

 

線性dp codeforces_逆矩陣_03

線性dp codeforces_逆矩陣_04

 

 2.2 可逆矩陣

定義:設A為n階方陣, 若存在n階方陣B, 使得AB = BA = In, 則稱A為可逆矩陣或非奇異矩陣, 而稱B 為A 的逆矩陣,並記為A-1.

線性dp codeforces_線性方程組_05

逆矩陣的性質:

線性dp codeforces_線性dp codeforces_06

 

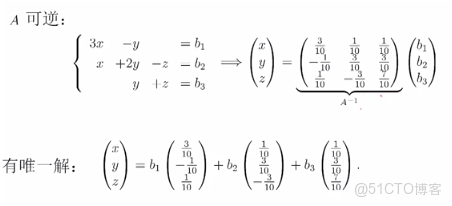
逆矩陣與線性方程: Ax = b, 如果b有唯一解,則A是可逆的。(有解説明A與b線性相關)

線性dp codeforces_逆矩陣_07

 

由於方程有解,b向量可以用A向量線性表示。可以寫成下面的的方程:X向量=S向量 * b向量,其中S向量為A向量的逆向量。

線性dp codeforces_線性方程組_08

向量線性相關性(有解:線性相關;無解:線性無關)

線性dp codeforces_線性dp codeforces_09

 

多個向量間線性相關,則其中某個向量可以被其他向量線性表示。

線性dp codeforces_逆矩陣_10

線性dp codeforces_逆矩陣_11

 

線性dp codeforces_逆矩陣_12

線性dp codeforces_線性dp codeforces_13

 

線性dp codeforces_線性dp codeforces_14

 

2.3 線性方程組的行圖和列圖

行圖:是從座標系的角度看線性方程,(2元/3元)方程組的每一行代表是一條直線/平面。

列圖:是從矢量的角度看線性方程。

線性dp codeforces_逆矩陣_15

  

線性dp codeforces_方程組_16

 

線性dp codeforces_線性dp codeforces_17

如果方程組有解,則在每行方程組,即這些直線和平面有交點無解,則沒有交點有唯一解,則A可逆

線性dp codeforces_方程組_18

線性dp codeforces_線性dp codeforces_19

 

線性dp codeforces_線性方程組_20

 

線性dp codeforces_線性dp codeforces_21

下面例子中,Ab擴展矩陣無解,所以b向量無法被A向量線性表示。A不可逆。

線性dp codeforces_線性dp codeforces_22