實時實例分割最新_實時實例分割最新

本文主要解決視頻目標分割領域的一個基本問題:如何使分割模型能夠有效地適應特定視頻以及在線目標的外觀變化。

解決辦法:提出一個圖存儲網絡來對分割模型進行“學習更新”。

大概流程分為兩步:首先構建一個由全連接圖構成的情景存儲網絡,將幀存儲為節點,並通過邊捕獲跨幀的相關性。然後,可學習的控制器被嵌入以簡化內存的讀寫。

相比於以往模型的優勢:結構化的外部存儲使可以在視覺信息有限的情況下全面挖掘並快速存儲新知識。不同的存儲控制器通過梯度下降學習了一種抽象的表示方法,可以利用這種表示學習進行預測 。另外,圖存儲網絡產生的框架,可以推廣到one-shot和zero-shot視頻目標分割任務。

論文 https://arxiv.org/pdf/2007.07020.pdf

1.引言

視頻目標分割(VOS)旨在像素級別對視頻中的一個目標進行預測,目前根據第一幀的視頻是否有註釋可以把VOS分為兩類:one-shot視頻目標分割(O-VOS)和zero-shot視頻目標分割(Z-VOS)。

O-VOS:提供第一幀的視頻註釋,可以對視頻其他部分帶標籤的目標進行分割預測。

Z-VOS:在沒有任何測試時間指示的情況下自動推斷主要目標。

O-VOS的主要困難:沒有關於特定目標的假設,應用場景有干擾對象。

支持集:視頻的第一幀註釋。

查詢集:視頻的其餘幀。

針對O-VOS以往的解決方法:較早的方法,在每個帶註釋的目標上構建network finetuning-缺點:耗時。當前流行的方法,建立一個匹配框架,將該任務描述為支持集和查詢集之間的匹配流程。

O-VOS方法的限制:

1.首先學習通用匹配網絡,然後將其直接應用於測試視頻,無法充分利用第一幀目標特定信息。 結果導致其不能有效地適應輸入視頻。

2.由於分割目標可能會出現外觀變化,因此執行在線模型更新很有意義。

3.基於匹配的方法僅對查詢和每個支持幀之間的配對關係建模,而忽略了支持集中的上下文。

本文受到了最近小樣本學習的記憶增強網絡的啓發而提出的方法:開發了一個圖存儲網絡,以通過單次前饋使在線分割模型適應特定目標。

本文模型的一些優勢:圖存儲網絡簡潔,快速。 對於內存更新,模型在固定大小的圖內存上執行消息傳遞,而不增加內存消耗。模型提供了一個框架; 它概括了Z-VOS任務,而主流方法缺乏自適應能力。這項工作代表了在統一網絡設計中同時解決O-VOS和Z-VOS的第一部分。

2.方法

2.1 預備知識:情景記憶網絡

背景:記憶網絡通過外部存儲組件增強了神經網絡,使網絡可以顯式訪問過去的經驗。常應用於小樣本學習和目標追蹤中。

解決的相關任務:情景外部存儲器網絡解決視覺問題回答和視覺對話中的推理問題。

基本思想:使用可學習的讀寫運算符從內存中檢索回答問題所需的信息。給定輸入表示的集合,情節記憶模塊通過神經注意力選擇要關注的輸入部分。然後在考慮查詢以及存儲的情況下生成“內存摘要”表示形式。情節中的每個迭代為存儲模塊提供有關輸入的相關信息。最後存儲模塊具有在每次迭代中檢索新信息並獲得有關輸入的新表示的能力。

2.2 學習更新

目標:從第一幀中帶註釋的目標學習,在後續幀中對其進行預測。

傳統方法:將網絡連接到一起,併為每個特定的視頻執行在線學習。

本文的方法:根據訓練任務的分佈對各種任務構造基於情境記憶的學習器,從而使學習的模型在新的不可見的任務(測試視頻)上表現良好。將O-VOS作為“學習更新”的分割網絡來處理。

過程:
i)從one-shot支持集中提取任務表示
ii)給定任務表示形式,更新查詢的分割網絡。如圖1所示,增強具有圖結構的情景存儲網絡(即圖存儲網絡),以便:i)立即使分割網絡適應特定的對象,而不是執行大量的迭代; ii)充分利用視頻序列中的上下文。

本文的圖存儲網絡具有兩種能力:在模型初始化階段學會從one-shot支持集調整分割網絡,學會在幀處理階段利用分割幀來更新分段網絡。


2.3圖存儲網絡

結構:由一個外部圖存儲器和用於存儲操作的可學習控制器組成。

外部圖存儲器:為新知識編碼提供了短期存儲,其圖結構允許全面探索上下文。

控制器:進行讀取和寫入操作,與圖存儲器交互,通過權重的緩慢更新來長期存儲。 通過控制器,模型可學習兩方面的內容:1.其放入內存的表示類型,2.以後如何將這些表示用於細分預測的通用策略。

圖存儲網絡的核心思想:執行情節推理的K個步驟,以有效挖掘內存中的結構並更好地捕獲目標特定的信息。

圖存儲網絡的具體流程:

存儲器被組織為一個大小固定的全連接圖實時實例分割最新_#人工智能_02,其中節點實時實例分割最新_#機器學習_03表示第i個存儲單元,邊實時實例分割最新_#機器學習_04表示 單元格實時實例分割最新_#人工智能_05實時實例分割最新_#人工智能_06之間的關係。

給定一個查詢幀,支持集被認為是第一個帶註釋的幀和先前分割的幀的組合。 從支持集採樣的實時實例分割最新_#深度學習_07幀初始化圖內存。對於每個存儲節點實時實例分割最新_#人工智能_05,通過將全卷積存儲編碼器應用於支持幀以捕獲空間視覺特徵以及分割mask信息,來生成其初始嵌入實時實例分割最新_#人工智能_09

圖內存讀取。 全卷積查詢編碼器也應用於查詢幀,以提取視覺特徵實時實例分割最新_實時實例分割最新_10。 一個可學習的讀取控制器首先將q作為輸入並生成其初始狀態實時實例分割最新_#人工智能_11

實時實例分割最新_#機器學習_12

其中實時實例分割最新_#神經網絡_13表示映射函數。

在每個情節推理步驟實時實例分割最新_#機器學習_14,讀取控制器通過讀取內容與外部圖存儲器進行交互。 遵循鍵值檢索機制,先計算查詢與每個內存節點實時實例分割最新_#人工智能_05之間的相似度:

實時實例分割最新_#神經網絡_16

接下來通過softmax歸一化函數計算讀取權重實時實例分割最新_實時實例分割最新_17

實時實例分割最新_#神經網絡_18

考慮到某些節點由於底層相機移動或視線不佳而產生噪聲,因此實時實例分割最新_實時實例分割最新_17可以測量存儲單元實時實例分割最新_#人工智能_05的置信度。 然後使用此權重檢索內存聚合實時實例分割最新_#機器學習_21以線性組合內存單元:

實時實例分割最新_#機器學習_22

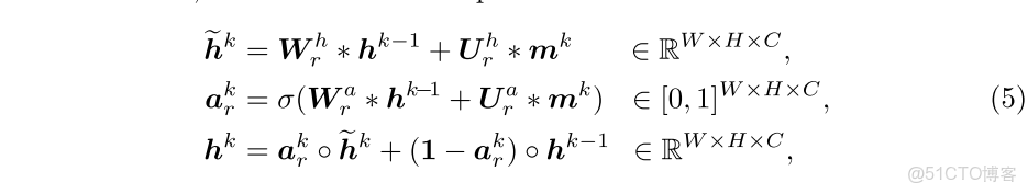
通過等式(2-4),存儲器模塊檢索與實時實例分割最新_實時實例分割最新_23最相似的存儲器單元,以獲得存儲器聚合實時實例分割最新_#機器學習_21。 讀取內存彙總後,讀取控制器將更新其狀態,如下所示:

實時實例分割最新_實時實例分割最新_25

其中實時實例分割最新_實時實例分割最新_26實時實例分割最新_#人工智能_27是卷積核,σ表示Sigmoid激活函數。 “ *”和“◦”分別代表卷積運算和Hadamard乘積。 更新門實時實例分割最新_#神經網絡_28控制要保留多少先前的隱藏狀態實時實例分割最新_#神經網絡_29。 通過這種方式,控制器的隱藏狀態對圖存儲器和查詢表示進行編碼。

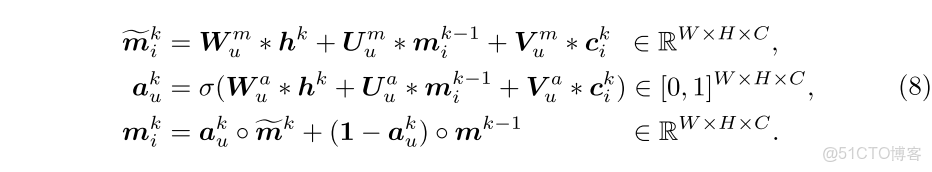
情景圖內存更新

每次通過內存彙總後,都需要使用新的查詢輸入來更新情節圖內存。 在每個步驟k,可學習的存儲器通過考慮其先前狀態實時實例分割最新_實時實例分割最新_30寫入控制器,來自讀取控制器實時實例分割最新_實時實例分割最新_31的當前內容以及來自其他單元${m^{k-1}_j} 實時實例分割最新_#神經網絡_32m_j實時實例分割最新_#人工智能_33m_i實時實例分割最新_實時實例分割最新_34e^k$公式化為其特徵矩陣的內積相似性:

實時實例分割最新_#深度學習_35

其中實時實例分割最新_#神經網絡_36表示可學習的權重矩陣,實時實例分割最新_#深度學習_37實時實例分割最新_#神經網絡_38被固定為矩陣表示形式。實時實例分割最新_#機器學習_39存儲與實時實例分割最新_#人工智能_05實時實例分割最新_#人工智能_06中所有位置對 對應的相似性分數。

然後,對於實時實例分割最新_#人工智能_05,從其他單元格計算歸一化的信息實時實例分割最新_#深度學習_43,並對其歸一化的內積相似性進行加權:

實時實例分割最新_實時實例分割最新_44

其中softmax(·)標準化輸入的每一行。

彙總來自鄰居的信息後,內存寫控制器將實時實例分割最新_#人工智能_05的狀態更新為:

實時實例分割最新_實時實例分割最新_46

圖內存更新允許每個內存單元將鄰居信息嵌入到其表示中,以便全面探索支持集中的上下文。 此外,通過對圖結構進行迭代推理,每個存儲單元對新的查詢信息進行編碼,並逐漸改進表示形式。與傳統的存儲網絡相比,本文的圖存儲網絡具有兩個優點:i)將內存寫操作融合到內存更新過程中,而不會增加內存大小,並且ii)避免設計複雜的內存寫策略。 圖2顯示了內存讀取和更新。

最終分割Readout 在對情節性存儲器進行K步更新之後,利用來自存儲器讀取控制器的最終狀態實時實例分割最新_#人工智能_47來支持對查詢的預測:

實時實例分割最新_#機器學習_48

讀數函數實時實例分割最新_#神經網絡_49給出最終的分割概率圖。

實時實例分割最新_#深度學習_50

圖 2 內存讀取和更新

2.4 網絡架構

網絡配置 總體模型以端到端的全卷積實現;查詢編碼器和內存編碼器都具有相同的結構;圖存儲器,讀控制器(等式(5))和寫控制器(等式(8))均使用具有1×1卷積內核的ConvGRU實現;投影函數fP(等式(1))也通過1×1卷積層實現;讀出函數fR(等式(9))由一個解碼器網絡實現,該網絡由四個塊組成,這些塊具有與相應的ResNet50塊的skip-connection;解碼器中每個卷積層的內核大小設置為3×3,最後一個1×1卷積層除外;查詢和內存編碼器實現為ResNet50的四個卷積塊,由ImageNet上預訓練的權重初始化;

輸入:查詢編碼器以RGB查詢幀作為輸入;內存編碼器,輸入為RGB支持幀;存儲器編碼器以二進制掩碼和實例標籤圖作為輸入

訓練 對於O-VOS,按照“遞歸訓練”訓練模型。通過對支持集進行採樣以構建圖存儲器和相關查詢集來形成每個訓練週期。遞歸訓練的核心是模仿推理過程。對每個視頻採樣N + 1幀構建支持集(前N幀)和查詢集(最後一幀)。N個支持幀可以由N節點存儲器圖表示。將交叉熵損失應用於監督訓練。

為了防止圖記憶僅記住實例與單向矢量標籤之間的關係,本文采用了標籤關閉策略。如圖3所示,分割網絡通過考慮當前的訓練樣本而不是記住目標和給定標籤之間的特定關係來學習區分當前幀中的特定實例。

為了進一步提高性能,通過合成視頻擴展了訓練集。對於靜態圖像,採用視頻生成技術通過不同的變換操作來獲得模擬的視頻剪輯。靜態圖像來自現有的圖像分割數據集。在對合成視頻進行預訓練之後,將真實視頻數據用於微調。

對於Z-VOS,遵循與O-VOS類似的訓練協議,但是輸入模態僅具有RGB數據。本文專注於對象級別的Z-VOS設置,因此不使用標籤切換策略。

實時實例分割最新_實時實例分割最新_51

推理

訓練後直接將網絡應用於測試集。對O-VOS按順序處理每個測試視頻。前N個幀直接計算內存彙總(等式(4))並將這些幀寫入內存。從第(N + 1)幀開始,在分割之後將使用該幀更新圖內存。考慮到第一幀及其註釋始終提供最可靠的信息,重新初始化存儲有關第一幀信息的節點。因此使用第一個帶註釋的幀,最後一個分割的幀和從先前的分割幀中採樣的N-2個幀,以及它們的預定義或分割掩碼來構建內存。對於多實例的情況,為每個實例獨立運行模型,併為每個實例獲得soft-max概率掩碼。對於Z-VOS,從同一視頻中隨機採樣N幀以構建圖內存,然後根據所構建的內存處理每個幀。

考慮到全局信息比局部信息對於處理潛在的對象遮擋和相機移動更重要,因此通過使用全局採樣的幀重新初始化圖形存儲器來獨立處理每個幀。

3.實驗結果

實時實例分割最新_實時實例分割最新_52

3.1O-VOS的性能

O-VOS使用DAVIS17 和Youtube-VOS 數據集

實時實例分割最新_#人工智能_53

圖4 O-VOS的量化結果

3.2 Z-VOS的性能

Z-VOS使用DAVIS16 和Youtube-Objects數據集

實時實例分割最新_#神經網絡_54

表 3 Z-VOS在DAVIS16的評估

實時實例分割最新_#深度學習_55

表 4 Z-VOS在Youtube-Object的評估

實時實例分割最新_#深度學習_56

圖 5 Z-VOS的量化結果

4 總結

本文主要提出了一種新的圖存儲機制,可以有效地使分割網絡適應特定視頻。通過對存儲圖進行情節推理,所提出的模型能夠生成視頻專用的存儲摘要,從而顯着改善最終的分割預測。 同時,可以通過可學習的內存控制器來實現在線模型更新。圖存儲網絡簡潔,快速。 模型在內存更新時可以在固定大小的圖內存上執行消息傳遞,而不增加內存消耗。