文章目錄

  • 92. 反轉鏈表 II
  • 題目描述
  • 示例 1:
  • 示例 2:
  • 提示:
  • 進階: 你可以使用一趟掃描完成反轉嗎?
  • 解題思路
  • 問題深度分析
  • 核心思想對比
  • 算法流程圖
  • 複雜度分析
  • 關鍵邊界與陷阱
  • 方法與代碼要點(Go)
  • 測試用例設計
  • 實戰技巧
  • 完整題解代碼

92. 反轉鏈表 II

題目描述

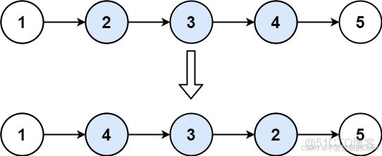
給你單鏈表的頭指針 head 和兩個整數 left 和 right ,其中 left <= right 。請你反轉從位置 left 到位置 right 的鏈表節點,返回 反轉後的鏈表 。

示例 1:

【LeetCode】92. 反轉鏈表 II - 指南_遞歸

輸入:head = [1,2,3,4,5], left = 2, right = 4
輸出:[1,4,3,2,5]

示例 2:

輸入:head = [5], left = 1, right = 1
輸出:[5]

提示:

  • 鏈表中節點數目為 n
  • 1 <= n <= 500
  • -500 <= Node.val <= 500
  • 1 <= left <= right <= n

進階: 你可以使用一趟掃描完成反轉嗎?

解題思路

問題深度分析

本題要求在單鏈表中僅反轉[left, right]區間節點,其他部分保持原相對順序,時間O(n)、空間O(1)的一趟掃描是最優思路。核心在於:精確定位邊界、斷開/接回指針、在區間內進行原地反轉。

  • 關鍵指針:pre(指向left前一個結點)、leftNode(left處結點)、rightNode(right處結點)、rightNext(right後一個結點)。
  • 一趟掃描常用“頭插法”在區間內原地重排;或使用常規反轉再接回。

核心思想對比

  • 方法一(頭插法一趟掃描,最優):固定pre,每次把leftNode後面的結點摘下,插到pre之後,實現區間內前插,O(1)空間,O(n)時間。
  • 方法二(常規反轉再接回):先走到prerightNext,斷開[left,right],常規反轉,再接回,思路直觀。
  • 方法三(遞歸:反轉前N個 + 偏移):將問題轉為“反轉鏈表前N個”子問題,向右偏移left-1次,遞歸優雅但實現需小心邊界。
  • 方法四(棧/數組輔助):將區間內節點壓棧後再彈出拼接,易寫但需O(k)額外空間(k=right-left+1)。

算法流程圖

主流程(以頭插法為例)

啞結點dummy->head

定位pre到left前一位

leftNode=pre.next

i從0到right-left-1

取出next := leftNode.next

leftNode.next = next.next

next.next = pre.next

pre.next = next

完成, 返回dummy.next

常規反轉+接回

dummy->head

找到pre與rightNode

rightNext=rightNode.next

斷開pre.next..rightNode子鏈

反轉子鏈

pre.next=反轉後的頭

原leftNode.next=rightNext

返回dummy.next

遞歸思路(反轉前N個)

graph TD
    A[reverseBetween(head,left,right)] --> B{left==1?}
    B -->|是| C[reverseN(head, right)]
    B -->|否| D[head.next = reverseBetween(head.next,left-1,right-1)]
    D --> E[返回head]

複雜度分析

  • 時間複雜度:四種方法均為O(n),n為鏈表長度。
  • 空間複雜度:
  • 頭插法與常規反轉:O(1)
  • 遞歸:O(right-left+1) 遞歸棧
  • 棧法:O(right-left+1) 額外空間

關鍵邊界與陷阱

  • left==right:無需操作直接返回。
  • left==1:pre為dummy,注意連接。
  • 只有一個節點/空鏈表:直接返回。
  • 區間在尾部:rightNext可能為nil,接回時謹慎。
  • 指針順序:先保存next再修改指針,避免丟鏈。

方法與代碼要點(Go)

  • 方法一:頭插法一趟掃描(推薦最優)
  • 固定preleftNode,把leftNode後面的節點依次插到pre後面。
  • 方法二:常規反轉子鏈後接回
  • 先切出子鏈段,再常規反轉,然後兩端接回。
  • 方法三:遞歸reverseN
  • reverseBetween(head,l,r):若l==1,調用reverseN(head,r);否則head.next = reverseBetween(head.next,l-1,r-1)
  • 方法四:棧輔助
  • 遍歷區間壓棧,隨後彈棧重建區間,最後接回。

測試用例設計

  • [1,2,3,4,5], left=2, right=4 -> [1,4,3,2,5]
  • [5], left=1, right=1 -> [5]
  • [1,2,3], left=1, right=3 -> [3,2,1]
  • [1,2,3,4], left=3, right=4 -> [1,2,4,3]
  • [1,2], left=1, right=2 -> [2,1]
  • 邊界:空/單節點/left==right/區間含尾部

實戰技巧

  • 啞結點dummy極大簡化頭部操作。
  • 指針改動順序:保存next -> 斷開 -> 插入/反轉 -> 接回。
  • 模板化書寫,減少出錯。

完整題解代碼

package main
import (
"fmt"
)
type ListNode struct {
Val  int
Next *ListNode
}
// =========================== 方法一:頭插法一趟掃描(最優) ===========================
func reverseBetween1(head *ListNode, left int, right int) *ListNode {
if head == nil || left == right {
return head
}
dummy := &ListNode{Next: head}
pre := dummy
for i := 1; i < left; i++ {
pre = pre.Next
}
leftNode := pre.Next
for i := 0; i < right-left; i++ {
next := leftNode.Next
leftNode.Next = next.Next
next.Next = pre.Next
pre.Next = next
}
return dummy.Next
}
// =========================== 方法二:常規反轉子鏈後接回 ===========================
func reverseBetween2(head *ListNode, left int, right int) *ListNode {
if head == nil || left == right {
return head
}
dummy := &ListNode{Next: head}
pre := dummy
for i := 1; i < left; i++ {
pre = pre.Next
}
rightNode := pre
for i := 0; i < right-left+1; i++ {
rightNode = rightNode.Next
}
rightNext := rightNode.Next
// 切下子鏈
leftNode := pre.Next
rightNode.Next = nil
// 反轉子鏈
revHead := reverseList(leftNode)
// 接回
pre.Next = revHead
leftNode.Next = rightNext
return dummy.Next
}
func reverseList(head *ListNode) *ListNode {
var prev *ListNode
for head != nil {
next := head.Next
head.Next = prev
prev = head
head = next
}
return prev
}
// =========================== 方法三:遞歸(reverseN + 偏移) ===========================
var successor *ListNode
func reverseBetween3(head *ListNode, left int, right int) *ListNode {
if left == 1 {
return reverseN(head, right)
}
head.Next = reverseBetween3(head.Next, left-1, right-1)
return head
}
func reverseN(head *ListNode, n int) *ListNode {
if n == 1 {
successor = head.Next
return head
}
last := reverseN(head.Next, n-1)
head.Next.Next = head
head.Next = successor
return last
}
// =========================== 方法四:棧輔助 ===========================
func reverseBetween4(head *ListNode, left int, right int) *ListNode {
if head == nil || left == right {
return head
}
dummy := &ListNode{Next: head}
pre := dummy
for i := 1; i < left; i++ {
pre = pre.Next
}
// 收集區間節點
stack := []*ListNode{}
node := pre.Next
for i := left; i <= right; i++ {
stack = append(stack, node)
node = node.Next
}
rightNext := node
// 從棧彈出重建
for len(stack) > 0 {
n := stack[len(stack)-1]
stack = stack[:len(stack)-1]
pre.Next = n
pre = pre.Next
}
pre.Next = rightNext
return dummy.Next
}
// =========================== 工具方法與測試 ===========================
func buildList(vals []int) *ListNode {
if len(vals) == 0 {
return nil
}
head := &ListNode{Val: vals[0]}
cur := head
for i := 1; i < len(vals); i++ {
cur.Next = &ListNode{Val: vals[i]}
cur = cur.Next
}
return head
}
func toSlice(head *ListNode) []int {
var res []int
for head != nil {
res = append(res, head.Val)
head = head.Next
}
return res
}
func equalSlice(a, b []int) bool {
if len(a) != len(b) {
return false
}
for i := range a {
if a[i] != b[i] {
return false
}
}
return true
}
func runTests(methodName string, f func(*ListNode, int, int) *ListNode) int {
tests := []struct {
in    []int
l, r  int
want  []int
label string
}{
{[]int{1, 2, 3, 4, 5}, 2, 4, []int{1, 4, 3, 2, 5}, "mid range"},
{[]int{5}, 1, 1, []int{5}, "single"},
{[]int{1, 2, 3}, 1, 3, []int{3, 2, 1}, "all"},
{[]int{1, 2, 3, 4}, 3, 4, []int{1, 2, 4, 3}, "tail"},
{[]int{1, 2}, 1, 2, []int{2, 1}, "two"},
{[]int{1, 2, 3, 4, 5}, 3, 3, []int{1, 2, 3, 4, 5}, "no-op"},
}
pass := 0
for i, tc := range tests {
head := buildList(tc.in)
out := f(head, tc.l, tc.r)
s := toSlice(out)
ok := equalSlice(s, tc.want)
status := "✅"
if !ok {
status = "❌"
}
fmt.Printf("  測試%d(%s): %s\n", i+1, tc.label, status)
if !ok {
fmt.Printf("    輸入: %v, left=%d, right=%d\n", tc.in, tc.l, tc.r)
fmt.Printf("    輸出: %v\n", s)
fmt.Printf("    期望: %v\n", tc.want)
} else {
pass++
}
}
fmt.Printf("  通過: %d/%d\n\n", pass, len(tests))
return pass
}
func main() {
fmt.Println("=== LeetCode 92: 反轉鏈表 II ===\n")
methods := []struct {
name string
fn   func(*ListNode, int, int) *ListNode
}{
{"頭插法一趟掃描(最優)", reverseBetween1},
{"常規反轉後接回", reverseBetween2},
{"遞歸(reverseN)", reverseBetween3},
{"棧輔助", reverseBetween4},
}
for _, m := range methods {
fmt.Printf("方法:%s\n", m.name)
runTests(m.name, m.fn)
}
}