博客 / 詳情

返回

算法 - 鏈表 - 環形鏈表

力扣 142題 環形鏈表II

  1. 環形鏈表 II難度中等1959給定一個鏈表的頭節點  head ,返回鏈表開始入環的第一個節點。 如果鏈表無環,則返回 null。如果鏈表中有某個節點,可以通過連續跟蹤 next 指針再次到達,則鏈表中存在環。 為了表示給定鏈表中的環,評測系統內部使用整數 pos 來表示鏈表尾連接到鏈表中的位置(索引從 0 開始)。如果 pos 是 -1,則在該鏈表中沒有環。注意:pos 不作為參數進行傳遞,僅僅是為了標識鏈表的實際情況。不允許修改 鏈表。 示例 1:
    圖片
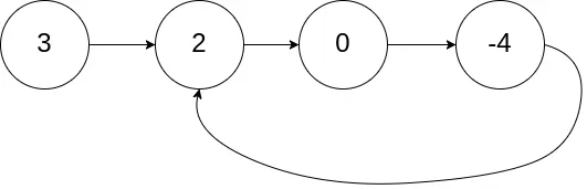
    輸入:head = [3,2,0,-4], pos = 1
    輸出:返回索引為 1 的鏈表節點
    解釋:鏈表中有一個環,其尾部連接到第二個節點。
    示例 2:
    圖片
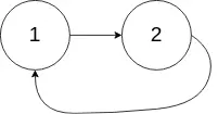
    輸入:head = [1,2], pos = 0
    輸出:返回索引為 0 的鏈表節點
    解釋:鏈表中有一個環,其尾部連接到第一個節點。
    示例 3:
    圖片
    輸入:head = [1], pos = -1
    輸出:返回 null
    解釋:鏈表中沒有環。

要點1:使用快慢指針判斷鏈表是否有環

        ListNode slow = head;//慢指針
        ListNode fast = head;//快指針

        while(fast != null && fast.next != null){
            slow = slow.next; //每次往前走一步
            fast = fast.next.next;//每次往前走兩步

            if(slow == fast) {//快慢指針相遇
                如果相遇,表示鏈表有環,但相遇點 不一定是 第一次入環的節點。
            }
        }

要點2:如何找到第一次入環的節點?

詳看力扣題解

/**
 * Definition for singly-linked list.
 * class ListNode {
 *     int val;
 *     ListNode next;
 *     ListNode(int x) {
 *         val = x;
 *         next = null;
 *     }
 * }
 */
public class Solution {
    public ListNode detectCycle(ListNode head) {

        ListNode slow = head;//慢指針
        ListNode fast = head;//快指針

        while(fast != null && fast.next != null){
            slow = slow.next; //每次往前走一步
            fast = fast.next.next;//每次往前走兩步

            if(slow == fast) {//快慢指針相遇
                System.out.println("meet node : " + slow.val);
                ListNode headIndex = head;
                ListNode meetNode = slow;
                while(headIndex != meetNode) {
                    headIndex = headIndex.next;
                    meetNode = meetNode.next;
                }
                return meetNode;
            }
        }
        return null;
    }
}
user avatar
0 位用戶收藏了這個故事!

發佈 評論

Some HTML is okay.