博客 / 詳情

返回

從零開始構建圖注意力網絡:GAT算法原理與數值實現詳解

圖數據在機器學習中的地位越來越重要。社交網絡的用户關係、論文引用網絡、分子結構,這些都不是傳統的表格或序列數據能很好處理的。現實世界中實體之間的連接往往承載着關鍵信息。

圖神經網絡(GNN)的出現解決了這個問題,它讓每個節點可以從鄰居那裏獲取信息來更新自己的表示。圖卷積網絡(GCN)是其中的經典代表,但GCN有個明顯的限制:所有鄰居節點的貢獻都是相等的(在歸一化之後)。

這個假設在很多情況下並不合理。比如在社交網絡中,不同朋友對你的影響程度肯定不一樣;在分子中,也不是所有原子對化學性質的貢獻都相同。

圖注意力網絡(GAT)就是為了解決這個問題而設計的。它引入注意力機制,讓模型自己學會給不同鄰居分配不同的權重,而不是簡單地平均處理。用一個比喻來説,GCN像是"聽取所有朋友的建議然後求平均",而GAT更像是"重點聽那些真正懂行的朋友的話"。

本文文會詳細拆解GAT的工作機制,用一個具體的4節點圖例來演示整個計算過程。如果你讀過原論文覺得數學公式比較抽象,這裏的數值例子應該能讓你看清楚GAT到底是怎麼運作的。

GAT的核心思想

GAT的設計目標很直接:讓每個節點能夠智能地選擇從哪些鄰居那裏獲取信息,以及獲取多少信息。

任何圖都包含三個基本要素:節點(V)代表圖中的實體,邊(E)表示實體間的關係,特徵(X)是每個節點的屬性向量。

GAT層的工作流程可以概括為:輸入節點特徵,通過線性變換投影到新的特徵空間,計算節點間的注意力分數,用softmax進行歸一化,最後按注意力權重聚合鄰居信息得到新的節點表示。

我們用一個簡單的4節點圖來演示這個過程。節點A、B、C、D的連接關係如下圖所示:

為了便於手工計算,我們設定每個節點的特徵維度為3:

  • 節點A:[1.0, 0.5, 0.2]
  • 節點B:[0.9, 0.1, 0.3]
  • 節點C:[0.4, 0.7, 0.8]
  • 節點D:[0.2, 0.3, 0.9]

把這些特徵向量按行排列,就得到了特徵矩陣 X ∈ ℝ⁴ˣ³:

矩陣的每一行對應一個節點,每一列對應一個特徵維度。我們有4個節點,每個節點3個特徵,所以是4×3的矩陣。

線性變換:特徵投影

GAT計算注意力之前,需要先對節點特徵進行線性變換。這一步用共享的權重矩陣W將原始特徵投影到新的特徵空間。

線性變換的作用有兩個:一是讓模型能學到更好的特徵表示,二是可以調整特徵維度來適應不同任務的需要。數學表達式是:


我們設定原始特徵維度F=3,變換後的維度F′=2,權重矩陣W的值為(實際應用中這些權重是隨機初始化然後訓練得到的):

以節點A為例,它的原始特徵向量是:

與權重矩陣W相乘得到:

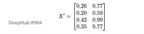
對所有節點進行同樣的變換:

變換後的特徵矩陣是:

現在每個節點都從3維特徵變成了2維特徵。

注意力分數計算

有了變換後的特徵,接下來要計算注意力分數。這些分數反映了在信息聚合時,一個節點對另一個節點的重要程度。

對於邊(i,j),注意力分數的計算公式是:


這裏eij可以理解為鄰居j對節點i的"原始重要性分數"。

設定變換後的特徵維度F′=2,注意力向量a為(實際中這個向量也是訓練學習得到的):

使用前面得到的變換特徵:

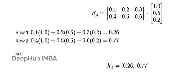
計算邊A→B的注意力分數。首先將節點A和B的特徵連接起來:

然後與注意力向量a做點積:
0.5(0.26) + 0.6(0.77) + 0.7(0.20) + 0.8(0.59) = 1.204

應用LeakyReLU激活函數(由於結果是正數,值保持不變):

用同樣的方法計算其他邊的注意力分數:

到這裏得到的是未歸一化的注意力分數,它們可以是任意實數。下一步需要用softmax對這些分數進行歸一化,讓它們變成類似概率的形式,便於比較和使用。

Softmax歸一化:注意力權重分配

現在有了每條邊的未歸一化注意力分數eij,但這些原始分數的數值範圍不一致,沒法直接比較。一個節點的分數可能在1.0左右,另一個節點的分數可能在5.0左右。

Softmax函數能夠解決這個問題,它將每個節點的所有鄰居注意力分數轉換為概率分佈:

其中:

Softmax確保每個節點對其所有鄰居的注意力係數加起來等於1。

以節點A為例進行計算:

結果顯示節點A給B分配38.3%的注意力,給C分配61.6%的注意力。

所有節點的歸一化注意力係數如下表:

從這些結果可以看出:節點A更偏向於關注節點C而不是B;節點B在A和D之間的注意力分配比較均勻;節點C和D各自只有一個鄰居,所以所有注意力都分配給了那個鄰居。

特徵聚合:生成新的節點表示

有了注意力係數αij,每個節點就可以通過聚合鄰居的特徵來更新自己的表示了:


簡單説就是:用重要性權重對每個鄰居的特徵進行加權,求和後再應用激活函數。

節點A的聚合計算過程:

所有節點聚合後的特徵:

  • 節點A:[0.335, 0.836]
  • 節點B:[0.306, 0.769]
  • 節點C:[0.260, 0.770]
  • 節點D:[0.200, 0.590]

激活函數σ通常使用ELU(Exponential Linear Unit)。對於正數ELU直接保持原值;對於負數ELU會進行平滑處理而不是像ReLU那樣直接置零,這種設計讓模型能夠學習到比線性組合更復雜的模式。

注意力機制決定了鄰居的重要性,聚合過程則產生了融合鄰居信息的新節點表示。

多頭注意力:多視角信息融合

前面介紹的是單個注意力頭的工作方式:變換特徵→計算注意力→softmax歸一化→聚合鄰居信息。

實際應用中,GAT會同時使用多個注意力頭,這個設計借鑑了Transformer架構。

多頭機制的好處很明顯。單個注意力頭可能會過度偏向某個鄰居(比如節點A對C的偏好過強),多個頭可以提供不同的視角來平衡這種偏向。每個頭都有自己的權重矩陣Wk和注意力向量ak,它們關注鄰域的不同方面。在中間層不同頭的輸出通常會被拼接起來;在最終層則通常取平均值來產生最終預測。

對於K個注意力頭,節點i的更新表示為:

假設我們用2個頭處理4節點圖。頭1可能學會讓節點A給C分配70%權重,給B分配30%權重;頭2可能學會相反的分配策略,給C分配40%權重,給B分配60%權重。當我們把兩個頭的結果拼接起來時,節點A的最終嵌入就包含了兩種不同的鄰居關係視角。

這種多樣性讓模型的表達能力更強,避免陷入單一的注意力模式。

GAT的訓練過程

GAT layer本身只是前向計算的一部分,訓練的目標是調整權重矩陣W^k 和注意力向量a^k,讓網絡在具體任務(比如節點分類)上表現更好。這些參數一開始是隨機初始化的,然後通過反向傳播不斷優化。

訓練流程比較標準:輸入包括圖G=(V,E)、節點特徵矩陣X ∈ ℝ^{N×F},以及部分節點的標籤。前向傳播讓特徵通過各個GAT層,每層都進行特徵變換、注意力計算和鄰居聚合,最終層用softmax輸出每個節點的類別概率。

損失計算通常用交叉熵,但只針對有標籤的節點。反向傳播計算損失對參數的梯度,這些梯度會流經注意力機制,更新鄰居權重的分配策略。

優化器一般選Adam,學習率設在0.001到0.01之間。為了防止過擬合,會在節點特徵和注意力係數上應用dropout,同時對權重W加上L2正則化。

多頭訓練讓每個注意力頭學習各自的參數,專注於鄰域的不同特性。根據任務需要,頭的輸出要麼拼接(捕獲多個視角),要麼取平均(穩定預測)。

總結

GAT的整個工作流程可以用一句話概括:線性變換→注意力計算→softmax歸一化→特徵聚合=上下文感知的節點嵌入。

這套機制自動解決了很多實際問題。在社交網絡中誰對你影響更大,最好的朋友還是普通熟人?在分子結構中哪些原子主導了化合物的性質?在論文引用網絡中經典研究和普通引用的權重應該如何分配?GAT通過學習關係的相對重要性來回答這些問題。

當然GAT也有侷限性。在超大規模圖上,注意力計算的開銷比較高;在小數據集上,模型容易過擬合。但它已經成為圖學習領域最受歡迎的工具之一,廣泛應用於社交媒體分析、推薦系統、藥物發現等領域。

如果你理解了GAT的數學原理和計算過程,就可以考慮在自己的領域裏嘗試這個方法。不管是社交網絡、知識圖譜還是分子生物學,GAT都有很大的應用潛力。

https://avoid.overfit.cn/post/b1c7efd4b1004512a98ebf3fcecce8e7

作者:Adarsha Pandey

user avatar starrocks 頭像
1 位用戶收藏了這個故事!

發佈 評論

Some HTML is okay.