動態

詳情 返回 返回

可視化圖解算法35:在二叉樹中找到兩個節點的最近公共祖先(二叉樹的最近公共祖先) - 動態 詳情

1. 題目

描述

給定一棵二叉樹(保證非空)以及這棵樹上的兩個節點對應的val值 o1 和 o2,請找到 o1 和 o2 的最近公共祖先節點。

數據範圍:樹上節點數滿足 1≤n≤10^5^ , 節點值val滿足區間 [0,n)

要求:時間複雜度 O(n)

注:本題保證二叉樹中每個節點的val值均不相同。

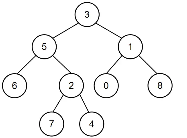
如當輸入{3,5,1,6,2,0,8,#,#,7,4},5,1時,二叉樹{3,5,1,6,2,0,8,#,#,7,4}如下圖所示:

所以節點值為5和節點值為1的節點的最近公共祖先節點的節點值為3,所以對應的輸出為3。

節點本身可以視為自己的祖先

示例1

輸入:

{3,5,1,6,2,0,8,#,#,7,4},5,1

返回值:

3

示例2

輸入:

{3,5,1,6,2,0,8,#,#,7,4},2,7

返回值:

2

2. 解題思路

本題求解的是普通二叉樹的公共祖先,即二叉樹的節點值沒有規律性(與二叉搜索樹不同),因此只能分不同情況進行處理:

情況1:節點的值等於給定的值(滿足給定的值p或q之一即可),該節點就是最近公共祖先

情況2:節點的值不等於給定的值,這時只能從左右子樹中查找:

  1. 從節點的左子樹中找;
  2. 從節點的右子樹中找;
  3. 返回對應的節點:

    ①如果左右子樹的結果都為null,返回null(説明左右子樹中都沒有公共祖先);

    ②左子樹或右子樹的結果有一個為null,返回不為null的結果(説明公共祖先存在於不為空的子樹中);

    ③左右子樹的結果都不為空,返回當前節點(説明當前節點為公共祖先)。

採用遞歸的方式查找公共祖先節點。

遞推公式如下:

如果文字描述的不太清楚,你可以參考視頻的詳細講解。

  • Python版本:https://www.bilibili.com/cheese/play/ep1372246
  • Java版本:https://www.bilibili.com/cheese/play/ep1367354
  • Golang版本:https://www.bilibili.com/cheese/play/ep1364779

3. 編碼實現

核心代碼如下:

/**
 * 代碼中的類名、方法名、參數名已經指定,請勿修改,直接返回方法規定的值即可
 *
 *
 * @param root TreeNode類
 * @param o1 int整型
 * @param o2 int整型
 * @return int整型
 */
func lowestCommonAncestor(root *TreeNode, o1 int, o2 int) int {
    // write code here
    return recursion(root, o1, o2).Val
}

func recursion(root *TreeNode, v1 int, v2 int) *TreeNode {
    // 2. 遞歸終止條件:節點為空,直接返回
    if root == nil {
        return nil
    }

    // 1. 問題分解(遞推公式)
    // 1.1 節點的值等於給定的值,該節點就是最近公共祖先
    if root.Val == v1 || root.Val == v2 {
        return root
    }
    // 1.2 節點的值不等於給定的值
    // 1.2.1 到左子樹中找
    left := recursion(root.Left, v1, v2)
    // 1.2.2 到右子樹中找
    right := recursion(root.Right, v1, v2)
    // 1.2.3 返回節點
    if left == nil && right == nil {
        //左右子樹都沒有找到,返回nil
        return nil
    } else if left == nil && right != nil {
        //左子樹都沒有找到,右子樹找到,返回右子樹
        return right
    } else if left != nil && right == nil {
        //右子樹都沒有找到,左子樹找到,返回左子樹
        return left
    } else {
        //左右子樹都找到,返回當前節點
        return root
    }
}

具體完整代碼你可以參考下面視頻的詳細講解。

  • Python版本:https://www.bilibili.com/cheese/play/ep1372246
  • Java版本:https://www.bilibili.com/cheese/play/ep1367354
  • Golang版本:https://www.bilibili.com/cheese/play/ep1364779

4.小結

普通二叉樹公共祖先的查找需要從左右子樹中分別查找,再依據查找的結果進行判斷:如果左右子樹有一個子樹查找到,則返回對應的子樹;如果都查找到則返回當前的節點(當前節點就是公共祖先);如果都沒有查找到,則返回Null。

《數據結構與算法》深度精講課程正式上線啦!七大核心算法模塊全解析:

  ✅   鏈表

  ✅   二叉樹

  ✅   二分查找、排序

  ✅   堆、棧、隊列

  ✅   回溯算法

  ✅   哈希算法

  ✅   動態規劃

無論你是備戰筆試面試、提升代碼效率,還是突破技術瓶頸,這套課程都將為你構建紮實的算法思維底座。🔥立即加入學習打卡,與千名開發者共同進階!

  • Python編碼實現:https://www.bilibili.com/cheese/play/ss897667807
  • Java編碼實現:https://www.bilibili.com/cheese/play/ss161443488
  • Golang編碼實現:https://www.bilibili.com/cheese/play/ss63997
對於二叉樹的相關算法,我們總結了一套【可視化+圖解】方法,依據此方法來解決相關問題,算法變得易於理解,寫出來的代碼可讀性高也不容易出錯。具體也可以參考視頻詳細講解。

今日佳句:北方有佳人,絕世而獨立。一顧傾人城,再顧傾人國。

user avatar liubo86 頭像 meituanjishutuandui 頭像 kaiwudb 頭像 dongyf 頭像 dewujishu 頭像 iicode 頭像
點贊 6 用戶, 點贊了這篇動態!
點贊

Add a new 評論

Some HTML is okay.