大模型剪枝新範式:先濃縮,再剪枝 —— DenoiseRotator 技術解讀

新聞
HongKong
33
03:31 PM · Dec 22 ,2025
  • 論文原文 :https://arxiv.org/abs/2505.23049
  • 項目地址 :https://github.com/Axel-gu/DenoiseRotator
  • 視頻解讀(B站) :https://www.bilibili.com/video/BV1XDUYBTEjr

在大語言模型(LLM)快速發展的今天,龐大的參數規模帶來高昂的推理存儲成本和回覆時延,已成為實際應用中的關鍵挑戰。特別是在面向人機對話的應用場景,模型推理效率直接影響到對話體驗。在推理優化方法中,參數剪枝作為一項經典的模型壓縮技術,旨在通過剔除模型中"不重要"的權重來實現參數量的顯著降低與計算效率的提升。然而,傳統的"剪枝-微調"範式或直接的後訓練剪枝方法,往往帶來明顯的模型性能損失,特別是在硬件友好的半結構化稀疏(如2:4稀疏)場景下,該問題尤為突出。這使得應用中的模型效果和推理效率,呈現一個"魚和熊掌"的兩難局面。

ScreenShot_2025-12-19_101804_667.png{{{width="auto" height="auto"}}}

面對這項挑戰,美團LongCat Interaction團隊聯合上海交通大學聽覺認知與計算聲學實驗室,以及香港科技大學的研究者,共同完成了大模型剪枝方法的創新研究,提出了名為DenoiseRotator的新技術。通過首先對參數矩陣進行變換,"濃縮"對結果有影響力的參數,再對重要性最低的參數進行剪枝,實現了大模型剪枝的新範式。DenoiseRotator能夠與現有的剪枝算法快速集成,有效緩解模型壓縮帶來的性能損失。這一研究成果已在2025年的NeurIPS會議上發表。

01 動機:傳統剪枝的侷限性------密集訓練與稀疏推理的隱式衝突

傳統後訓練剪枝的一般流程可概括為:對一個已訓練好的稠密模型 ,基於某種啓發式準則(如權重幅值或Wanda、SparseGPT等算法)為每個參數賦予"重要性分數",隨後根據預設的稀疏度閾值,移除分數較低的一部分權重。 儘管流程清晰,該方法存在一個本質侷限:其整個剪枝過程建立在固定不變的參數空間 上,本質上是一種被動的篩選機制。這進一步凸顯了以下深層衝突:

  • 密集訓練 的本質是隱式地激勵模型充分利用每一個參數。每個參數都承載了一定的知識或推理能力,並通過參數間的協同工作共同支撐模型的整體表達能力。

  • 稀疏推理 則要求模型僅基於被保留的部分參數完成推理任務,並保持高性能。

這種訓練目標與推理機制之間的內在不一致,意味着直接裁剪必然會導致部分知識或推理能力的丟失,從而破壞原有參數間協同工作的平衡,引發性能下降。

02 技術方案:DenoiseRotator------從"被動篩選"到"主動優化"的範式轉變

針對上述挑戰,我們重新思考剪枝範式:能否在剪枝前先對模型進行稀疏性引導的優化 ,使其自身結構更易於被剪枝 ? 基於此,我們提出了"重要性濃縮"的全新思路,並開發了DenoiseRotator框架予以實現。

2.1 核心思想:重要性濃縮

我們的核心目標是在執行剪枝之前 ,將原本分散在眾多參數上的重要性,儘可能地集中到一個較小的參數子集中 。這樣,在後續剪枝過程中,被移除權重所包含的關鍵信息將大幅減少,從而顯著增強剪枝的魯棒性。 為量化並優化"濃縮"效果,我們引入了信息熵 作為衡量指標。通過將參數重要性分數歸一化為概率分佈,其熵值直接反映了重要性的集中程度:熵越低,表明重要性越集中於少數參數。因此,我們的優化目標明確為最小化歸一化重要性分佈的熵

2.2 實現機制:可學習的正交變換

DenoiseRotator通過向Transformer層中引入可學習的正交矩陣,實現重要性分佈的熵減與濃縮。

如上圖所示,我們在Transformer層的特定位置(例如Attention模塊的Value和Output投影層前後)插入正交矩陣。這些矩陣對原始權重進行"旋轉"變換,在保持模型輸出完全不變(得益於正交變換的計算不變性)的前提下,重新分配參數的重要性。

2.3 關鍵優勢

訓練與剪枝解耦 :DenoiseRotator採用模塊化設計 ,正交矩陣的優化與具體剪枝方法完全獨立。我們首先利用校準數據,以最小化重要性熵為目標訓練這些正交矩陣;訓練完成後,將其合併回原始權重。此時,我們獲得了一個"易於剪枝"的優化版稠密模型,可無縫對接任何現有剪枝工具(如SparseGPT、Wanda)進行後續操作。

優化過程穩定:正交變換具有保範數特性,確保在重新分佈重要性時,既不會人為引入也不會丟失總重要性量,從而保證了優化過程的穩定性,不影響原始模型性能。

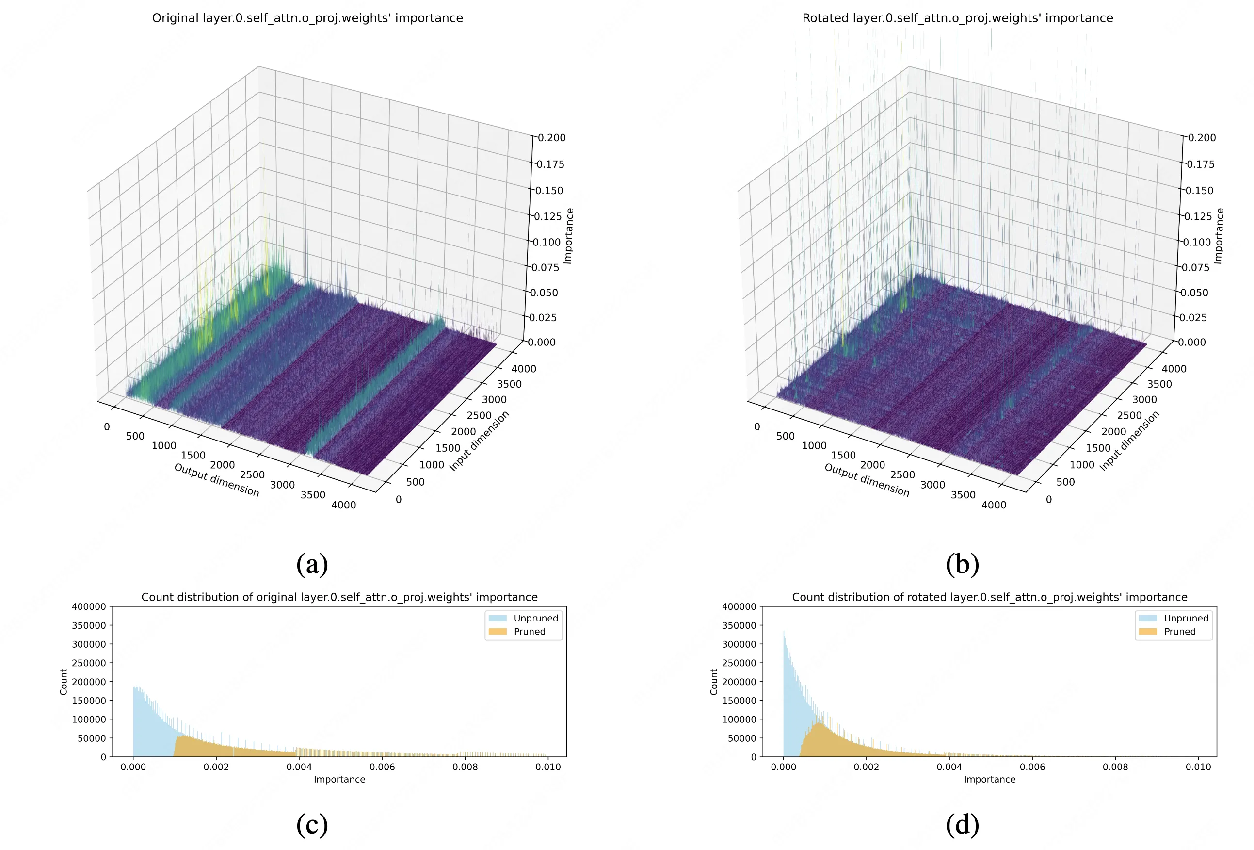
下圖直觀展示了DenoiseRotator的有效性。以LLaMA-3-8B模型首層輸出投影層為例,經我們的方法變換後,參數重要性分佈從分散趨於高度集中,為後續剪枝奠定了堅實基礎。

03 實驗驗證

在前文中,我們介紹了DenoiseRotator的核心思想------通過重要性濃縮提升剪枝魯棒性。那麼,這一方法在實際效果上表現如何?我們針對多個主流開源大模型進行了全面評測,涵蓋語言建模和零樣本推理任務,並與現有剪枝方法進行了對比。

3.1 實驗設置:覆蓋多模型、多任務、多剪枝方法

為全面評估DenoiseRotator的有效性,我們在多樣化的實驗設置下進行了系統性驗證。實驗覆蓋了從Mistral-7B、LLaMA3(8B/70B)到Qwen2.5(7B/14B/32B/72B)等多個主流開源大模型,評測任務包括語言建模(使用WikiText-2驗證集的困惑度PPL作為指標)和零樣本推理(在PIQA、WinoGrande、HellaSwag、ARC-e和ARC-c五個基準任務上評估平均準確率)。在基線方法方面,我們將DenoiseRotator與三類剪枝方法結合:經典方法Magnitude,以及先進方法Wanda和SparseGPT,並在非結構化(50%稀疏)和半結構化(2:4稀疏)兩種稀疏模式下進行對比評測。

3.2 主要結果:語言建模與零樣本推理全面提升

下表展示了不同模型在剪枝前後的困惑度(衡量語言建模能力)與零樣本任務表現。DenoiseRotator在所有模型和稀疏模式下均顯著降低剪枝造成的性能下降,尤其在2:4稀疏下提升更為明顯。

3.3 深入分析:熵減如何驅動剪枝魯棒性?

我們通過消融實驗驗證了重要性熵與剪枝效果的直接關聯。以LLaMA3-8B為例,記錄不同訓練步數下的熵值變化與模型性能:

熵減少13%(步數100)即可帶來零樣本任務準確率提升3.66%(66.88%➡70.54%),困惑度降低19.5%(9.567➡7.701)。進一步優化可繼續降低困惑度,驗證了重要性集中度與剪枝魯棒性的正相關

3.4 部署效率:輕量開銷,顯著收益

  • 參數增量:每層新增一個(hidden_size,hidden_size)正交矩陣。以LLaMA3-8B為例,總參數量增加約0.5B(佔原模型6.7%)。通過分塊對角矩陣(見論文附錄)可進一步降低開銷,適合資源受限場景。

  • 推理耗時:單層Transformer的2:4稀疏計算耗時4.37ms,加入正交矩陣後僅增加0.32ms(1.24×加速比 vs 稠密層)。

04 總結

DenoiseRotator提出了一種創新的剪枝視角:將模型準備(重要性濃縮)與模型壓縮(剪枝)兩個階段解耦 。通過可學習的正交變換,主動實現參數重要性的濃縮,從而顯著提升後續剪枝的魯棒性。該方法具備即插即用的特性,為大規模語言模型的高效、高性能壓縮提供了新的技術路徑。

項目地址 :https://github.com/Axel-gu/DenoiseRotator

希望跟大家一起學習交流。如果大家對這項工作感興趣,歡迎在GitHub上Star、Fork並參與討論!

| 關注「美團技術團隊」微信公眾號,在公眾號菜單欄對話框回覆【2024年貨】、【2023年貨】、【2022年貨】、【2021年貨】、【2020年貨】、【2019年貨】、【2018年貨】、【2017年貨】等關鍵詞,可查看美團技術團隊歷年技術文章合集。

| 本文系美團技術團隊出品,著作權歸屬美團。歡迎出於分享和交流等非商業目的轉載或使用本文內容,敬請註明"內容轉載自美團技術團隊"。本文未經許可,不得進行商業性轉載或者使用。任何商用行為,請發送郵件至 tech@meituan.com 申請授權。

user avatar
0 位用戶收藏了這個故事!
收藏

發佈 評論

Some HTML is okay.