紐約大學教授利用 AI 口試應對學術作弊,成本僅42美分

新聞
HongKong
38
04:47 PM · Jan 05 ,2026

在應對人工智能帶來的學術作弊問題上,紐約大學的一位教授採用了創新的方法。他在一門名為 “AI/ML 產品管理” 的課程中進行了一次口試實驗,結果揭示了學生知識的差距以及自身教學的不足。教授 Panos Ipeirotis 和共同授課的 Konstantinos Rizakos 發現,許多提交了高質量書面作業的學生,無法在口試中清晰解釋自己作業中的基本決策。

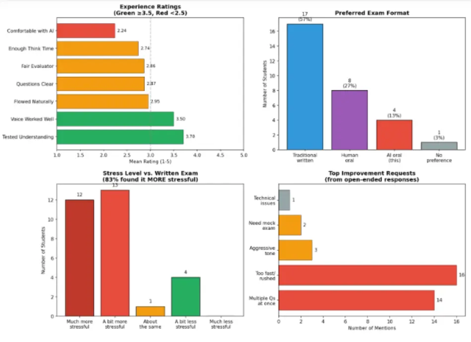
為了解決傳統考核方式的侷限性,他們引入了一種 AI 口試,利用了基於 ElevenLabs 的語音 AI 代理。該考試分為兩個部分,首先,AI 代理詢問學生關於最終項目的目標、數據、建模決策、評估和失敗模式等問題;接着,AI 會隨機選擇一門課程中的案例進行提問。36名學生在九天內進行了口試,平均每場考試耗時25分鐘,總費用僅為15美元,每位學生的成本僅42美分。

雖然第一版的 AI 口試存在一些問題,例如學生覺得 AI 的語氣過於嚴厲,且有時一次問多個問題,導致溝通不暢。經過調整後,AI 的表現有所改善。評分方面,採用了由 Claude、Gemini 和 ChatGPT 三種 AI 模型共同評分的方法,初始評分的一致性較低,但經過相互審閲後,評分的準確性得到了提升。

儘管大部分學生認為 AI 口試比書面考試更具壓力,但70% 的學生表示這種考試確實考驗了他們的實際理解能力。Ipeirotis 教授指出,AI 技術使得口試的實施變得可行,學生可以通過練習與 AI 的互動來提升自身能力。

user avatar
0 位用戶收藏了這個故事!
收藏

發佈 評論

Some HTML is okay.